中科院最新论文:华南海鲜市场不是病毒源头,11 月下旬就开始人传人?
结果表明病毒只是在复制的过程中发生了正常的突变,没有和其他病毒重组导致较大范围的突变。这意味着我们目前面对的仍然只是一个病毒,并没有新的病毒毒株产生。

来源:丁香园

作者:EVEE

2 月 21 日,中科院西双版纳热带植物园、华南农业大学、北京脑科中心在中国科学院科技论文预发布平台ChinaXiv提交了一篇题为Decoding evolution and transmissions of novel pneumonia coronavirus using the whole genomic data的论文,通过对四大洲、12 个国家的 93 个新型冠状病毒样本的基因组数据进行解析,追溯病毒的传染源及扩散路径。

图片来源:ChinaXiv

该论文一作是西双版纳植物园的郁文彬副研究员,其研究领域如下:

图源:中科院西双版纳植物园

相比于之前的研究,这项植物园主导的研究具有相当的「谱系生物地理分析」的特点,不论是取样策略还是分析方法,乃至与结果的表现形式都有浓浓的植物谱系地理「内味」了。

论文的主要结论如下:

  • 华南海鲜市场的新冠病毒是从其他地方传入的;
  • 新冠病毒在 2 月 12 日之前发生过2 次明显的种群扩张;
  • 新冠病毒基因组尚未发生重组事件。

这三个结论分别是怎么得出的?让我们来一一解读。

为什么新冠病毒的发源地不是华南海鲜市场?

早在 1 月 24 日,一项中国学者在线发表于《柳叶刀》对武汉最初 41 名新型冠状病毒感染者的分析论文就推测,华南海鲜市场或许不是病毒的源头,也可能从其他地方传入。

图片来源:The Lancet

根据该研究:第一位病人在 2019 年 12 月 1 日患病,而且没有华南海鲜市场接触史;第一位病人和后来的病例之间没有发现流行病学联系;在这 41 人中,有 13 人没有华南海鲜批发市场的暴露史。

图片来源:The Lancet

当时,该《柳叶刀》研究的通讯作者之一,首都医科大学曹彬教授曾表示,「现在看起来,华南海鲜批发市场并不是新型冠状病毒的唯一源头了,但我们现在还不太清楚病毒到底从哪里来」。

而西双版纳植物园的这项研究,则是为这项基于病例分析得出的推论提供了基于基因组数据分析的证据。

具体来看,西双版纳植物园的这项研究通过单倍型分析,发现大部分病毒的单倍型与华南海鲜市场并无联系。

*单倍型(Haplotype)是一个重要的遗传学概念,是指共存于单条染色体上的一系列遗传变异位点的组合。单倍型分析可以在群体遗传学上分析等位基因间差异、追踪个体亲缘关系、了解生物迁徙模式和进化历史,具有重要的理论意义和实用价值。

在这里,研究人员分析的前提是,所有的新冠病毒都有一个共同的祖先,当前的这些病毒在传播过程中发生了变异,但是这种变异是有迹可循的,所以可以通过分析确定病毒样本之间的演化关系。

研究人员基于 120 个变异位点得到 58 种病毒单倍型(基因类型),单倍型演化关系如下:

图片来源:Chinaxiv

单倍型 H13 和 H38 是比较「古老的」单倍型,通过一个中间载体 mv1 与蝙蝠冠状病毒 RaTG13 关联,但是对该单倍型对应的病毒样品进行溯源,发现他们分别是来自深圳的病患(广东首例)和美国华盛顿州的病患(美国首例)。

与华南海鲜市场有关联的患者样品的单倍型,都是由单倍型 H3 衍生而来的 H1 以及其衍生的单倍型 H2,H8~H12,但是单倍型 H3 与华南海鲜市场并无关联。

简单来看,新冠病毒演化的简化路线如下:

1.H13→H3→H1;

2.H38→H3→H1。

图片来源:ChinaXiv

由此可见,华南海鲜市场并非新冠病毒的发源地,海鲜市场内的新型冠状病毒是从其他地方传入,并在海鲜市场内发生快速传播,蔓延到市场之外。

病毒在什么时候经历了种群扩张?

种群历史动态的检测是谱系生物地理分析中的一项重要内容,即检测种群在历史上是否发生过扩张事件,如果种群发生过扩张,则根据一定的算法推测扩张时间。

图片来源:ChinaXiv

本研究通过中性检测与错配分布分析,发现病毒的种群经历了扩张,而且是两次。

进而,研究人员通过错配分析中根据 Arlequin 软件得出的 τ 值以及采样时间估计了病毒种群的扩张时间,分别是 12 月 8 日和 1 月 6 日。

病毒种群的第一次扩张时间在 12 月 8 日,这暗示着病毒可能在 12 月初,甚至 11 月下旬即已经开始有人际传播——这也与此前《柳叶刀》论文对病例分析得出的推论不谋而合。

而另一次种群扩张时间在1 月 6日,研究人员推测,这可能与元旦假期存在一定关联。

新冠病毒目前还没有发生重组,意味着什么?

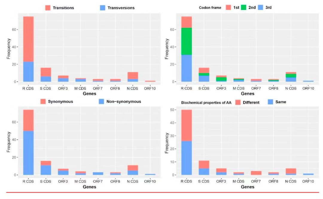
目前,研究人员还发现新型冠状病毒基因组没有发生重组事件。93 个基因组之间只有 120 核苷酸发生了突变(0.41% 序列长度),并均匀分布在 10 个编码区。120 个突变的核苷酸关联了 119 个氨基酸密码子,其中 79 个密码子 (65.83%)改变了氨基酸类型,并有 42 个(53.17%)氨基酸理化性质都被改变。

图片来源:Chinaxiv

这些结果表明病毒只是在复制的过程中发生了正常的突变,没有和其他病毒重组导致较大范围的突变。

这无疑是一个好消息,这意味着我们目前面对的仍然只是一个病毒,并没有新的病毒毒株产生。

最后,尽管这项研究得到了一些有趣的结论,但上述研究仍存在一定的局限性。

  • 早期样本不齐

研究者获取的最早的数据是仅仅是 12 月 24 日的样本,这与其推测的新冠病毒最早开始传播的时间相去甚远。由于 RNA 病毒变异较快,早期样品的缺乏或许会对结果产生一定的影响。

  • 单倍型网络分析方法单一

构建病毒单倍型网络时,只用了 median-joining 方法。不同的方法可能会产生不同的网络结构,因此,仅仅使用一种方法有可能会产生误导性结论。

【注】该研究为预印本,暂未经过同行评议,研究结论仅供参考,不可被视作正式研究结论或直接用于指导临床实践。

阅读数 9470